时间和空间不是各自独立的吗?怎么搅和到一块儿了?世界上最有名的方程E=mc²是怎么来的?3月11日,《张朝阳的物理课》线下“新春第一课”首次开讲,搜狐创始人、董事局主席兼CEO张朝阳与来自北京各高校的物理学子及物理爱好者们一起探讨物理的奥秘。
课堂上,他从光速不变理论出发,通过各种思想实验推导出时间膨胀、长度收缩、质速关系等违反直觉的相对论效应,利用质速关系与能量的定义进一步推导质能关系,并讲解了质能关系的意义与应用。之后又与现场同学讨论了此前直播课的相关问题,例如,薛定谔如何猜出薛定谔方程、如何用不确定性原理估算氢原子半径等。此外,人大附中物理教师、科普视频创作者李永乐作为特邀嘉宾现身课堂,与大家进行了深入的互动交流。
运动的时钟走得慢? 从光速不变推导时间膨胀
“我的课比较强调硬核推导。”张朝阳在开场介绍。线下“新春第一课”,张朝阳重点讲解了狭义相对论中最著名的方程E=mc²,并结合案例加以解释。
要理解狭义相对论,必须先了解光速的特殊性。他先从麦克斯韦方程组导出的电磁波方程入手,指出光速与参考系无关这一反直觉的论述。他从光速不变出发,推导出时间膨胀效应。
张朝阳举例:假设有一个以速度u沿水平方向运动的飞船,飞船底部到顶部的距离为L。从飞船底部竖直向顶部发射一束光,光到达顶部后竖直反射回底部。
推导时间膨胀的思想实验
从飞船内部看,这个过程中光经过的距离为2L,那么光从底部出发,到光被底部接收,此时间间隔为∆t'=2L/c。若在地面观察这个过程,设相应的时间间隔为∆t,由于光从底部到顶部与从顶部回到底部是个对称的过程,那么光到达顶部所用时间为∆t/2。在这个过程中,光走的路线与飞船底部发射点走的路线构成直角三角形,满足勾股定理:
解此方程得到:
可以发现,对于地面参考系,自光从底部发射,到光经反射回到底部,此时间差是飞船参考系下相应时间差的γ倍,其中γ大于1。而在飞船参考系下,光从底部发射,与光回到底部,这两个事件是在同一地点发生的,也就是它们可以对应飞船参考系里一个静止的钟,于是公式∆t=γ∆t'表明地面参考系的钟走得比飞船参考系的钟要快。更一般地说,运动的时钟比静止的时钟走得慢,这就是“时间膨胀”效应。
运动的尺子会缩短?从洛伦兹变换看长度收缩
张朝阳已推出时间膨胀效应。时间流逝的快慢竟然与参考系间的相对运动速度有关,这说明时间与空间不再是绝对的,而是联系到了一起。描述时间与空间之间的联系的方程就是洛伦兹变换公式,它是狭义相对论中两个作相对匀速运动的惯性参考系之间的坐标变换:
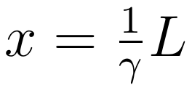
作为洛伦兹变换的一个应用,张朝阳基于此推导了相对论另一个重要的反直觉效应,即“长度收缩”效应。惯性系S’相对惯性系S以速度u向x正方向运动。在S’系放一个相对静止、长度为L的尺子,尺子的左端为S’系的原点,尺子的右端对应的坐标为x’=L。假设在S系中,t=0时刻,尺子左端刚好到达S系原点,而此时尺子右端对应的坐标是x。由于尺子右端在S’系的位置坐标始终为x’=L,那么根据洛伦兹变换,考察尺子右端,可以得到方程:
如前所述,S系中x对应的时刻为t=0,于是:
坐标x是动尺在左端到达S系原点时尺子右端的位置,这真是尺子在S系中的长度。上面的公式表明:运动的尺子会缩短到原来的1/γ。这与牛顿力学和传统直觉相违背,张朝阳解释说,其中的本质原因是,测量长度是同时测量物体两端在坐标系里的位置之差,而相对论中的同时性是具有相对性的,即在S系中同时看到尺子两端对应的两个事件,在S’系中并不一定是同时的,所以在不同参考系中测得的尺子长度自然就很可能不同。
运动的物体质量增? 速度变换、动量守恒,推导质速关系
洛伦兹变换只是坐标的变换,利用简单的微分知识,张朝阳进一步通过洛伦兹变换导出了速度在不同参考系的变换公式:
可以发现,不仅x分量的速度变换公式不再是简单的速度叠加,连y分量的速度也会发生变化。这是因为不同的参考系里,时间流逝的快慢也不同了,即使洛伦兹变换中y分量的坐标不变,y分量的速度仍然会有变化。
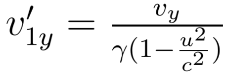
有了速度变换关系,就可以推导质速关系了。先在S系中设想一个思想实验:两个质量完全相同的小球1和小球2,分别以速度(Vx=u,Vy)和速度(-Vx,-Vy)运动,它们在S系的原点发生完全弹性碰撞。由于两球质量相同,由动量守恒可知,碰撞前后,其速度大小相同、方向相反。完全弹性碰撞没有能量损失,它们碰撞之后的速度大小与碰撞前一样。
假设小球1碰撞之后的速度为(Vx=u,-Vy),那么小球2碰撞之后的速度必然为(-Vx,Vy)。现在在另一个参考系S’系中观察这个过程。S’系相对于S系沿x方向以速度u运动,那么根据速度变换公式,小球1碰撞前后x方向的速度都为0,而碰撞前后y分量速度大小为:
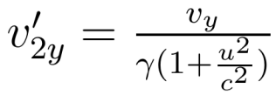
对于小球2,同样利用速度变换公式,可以得到S’系里x分量的速度为:
y分量的速度大小:
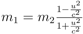
现在若假定在相对论中动量也具有p=mv的形式,设S’系里小球1与小球2的质量分为m1和m2,那么在S’系中为了使y分量动量守恒依然满足,需要小球1的动量变化等于小球2的动量变化:
联立上述各式,可得:
为了方便,不妨让小球们碰撞的y分量速度Vy趋于0,这样S’系中小球1就趋于静止状态,其质量m1可写为m0。而S’系中小球2的速度v就趋于x分量的速度,即v=V2x’只是u的函数,那么根据v与u的关系,将上述质量关系表达式中的u用v写出,则得到:
其中,已将m2用符号m代替。m代表以速度v运动的“动质量”,而m0代表物体静止时的质量,称为“静质量”。上式说明以p=mv定义的所谓“动质量”不再像牛顿力学中那样是一个与参考系无关的常数,而是一个与速度有关的量,这就是质速关系。
质能方程统一质量能量 低速极限呼应牛顿形式
有了质速关系,就可以进一步推导质能关系。能量E仍然按照传统的力乘以其所作用的位移来定义:
其中v是物体的运动速度,而p=mv。将质量m与速度v的质速关系代入可得:
显然质量为零时,能量也为零。最终可以积分得到伟大的质能方程:
虽然这看起来与牛顿力学的能量表达式相差甚远,但如果速度v相对于光速c较小,即v/c是个小量,则可对能量对v/c作泰勒展开:
可以发现,在这一近似下,能量对速度的依赖,又回到牛顿力学中的传统形式。
张朝阳强调,我们需要注意,当物体的速度为0时,能量并不是0,而是其静质量乘以光速的平方,一点点质量即包含很大的能量。这是个划时代的方程,它说明质量与能量是统一的,将原先旧的物理学中看起来毫无关联的两个量联系在了一起,物理中非常重要的守恒量也得到了扩展,不再是质量与能量各自守恒,而是质能守恒。张朝阳又以铀235的裂变过程为例,说明质量可以转化成能量,而其能量可以用爱因斯坦质能方程计算出来。
现场互动讨论薛定谔方程 用量子力学公式推导氢原子半径
在其后的互动环节中,张朝阳还与同学们探讨了各种物理问题。包括薛定谔是如何猜测出薛定谔方程的?张朝阳对此进行了现场推导:爱因斯坦假设光子存在,并且提出了光的波粒二象性;德布罗意进一步假设所有物质都具有波粒二象性,且对于物质粒子,可以仿照电磁波的形式描写物质波;之后,波对时间求导可以得到能量相关的项,波对空间求导可以得到动量相关的项目;最后,将哈密顿量中的能量与动量换成相应的算符,并把研究对象用波函数形式表达,即可猜出薛定谔方程。
此外,对于“如何用不确定性原理估算出氢原子半径?”的问题,张朝阳解释,从经典电动力学的观点看,电子绕原子核转动会向外辐射电磁波,能量降低,且迅速塌缩到原子核里,那么氢原子就不能稳定存在了。但在量子力学中,定性地讲,动量与位置满足不确定性关系,电子往原子核塌缩时,其位置不确定度越小,动量不确定度就越大,从而让电子有远离原子核的趋势,抵消了电子往原子核塌缩的趋势。
张朝阳不仅做了定性的说明,还做了定量的计算。他现场推导利用不确定性原理将动量表示成位置的不确定度并代入到哈密顿量中,计算出能量取最小值时的位置不确定度。这正是玻尔半径,也就是氢原子处于基态时电子的“轨道半径”,电子并不会塌缩到原子核内。张朝阳惊叹这种简单估算得到的结果竟然与严格求解薛定谔方程的结果相一致。这正体现了不确定性原理的简洁、深刻、有效。
此外,人大附中物理教师、科普视频创作者李永乐作为特邀嘉宾也来到了“新春第一课”的现场。有同学提到在刚结束的冬奥会上,联通5G直播背后的物理学原理问题时,李永乐以精简且有趣的语言阐述了联通5G大速率、低延时、覆盖广等优势,体现了大国实力下科技为生活增添美好的硬核实力。课堂最后,张朝阳与李永乐用三星Galaxy S22手机和到场的全体同学一起合影留念。
持续打造知识直播平台 搜狐视频吸引诸多科普播主入驻
截至目前,《张朝阳的物理课》已直播三十多期。张朝阳先是从经典物理学开始,科普了牛顿运动定律与能量动量守恒原理等;而后从经典物理的“两朵乌云”说起,向近现代物理过渡,探讨了由黑体辐射研究引出的维恩、瑞利-金斯、斯特潘、普朗克等系列公式。
此后的物理课程逐步进入量子力学领域,从基础的薛定谔方程、算符对易关系等理论内容,到无限深势阱、氢原子波函数,再到谐振子量子化、气体定容比热的温度阶梯等更加具体实用的案例。内容丰富、覆盖广泛,理论公式由浅入深、繁简交融。
从此前的物理课可以看出,《张朝阳的物理课》的直播风格独树一帜:注重推导,通过一步一步详尽的数学计算,推导出相关的物理公式,把每个公式从头到尾拆解得十分清晰。该课程于每周周五、周日12时在搜狐视频直播。同时,网友可以在搜狐视频“关注流”中搜索“张朝阳”,观看往期完整视频回放。
除了《张朝阳的物理课》外,在直播方面,搜狐视频正持续打造知识直播平台,陆续邀请各领域的头部播主入驻,进行科普知识直播。包括北京交通大学理学院教师陈征博士的“奇趣的科学实验”;康奈尔大学物理化学博士包坤,化身“包大人玩科学”,教普通人看懂2021年诺贝尔奖;还有天体物理博士刘博洋科普“日全食是怎么产生的”;理论物理博士周思益也开通“弦论世界”直播课等。未来还将有更多知识播主入驻搜狐视频,一起互动玩转科学。
文/金仁甫
编辑/范辉






















